VTeX: Solutions for Science Publishing logo


  • List of journals
  • Browse subjects
  • About Publisher
  • Help
  • Sitemap
Login Register

  1. Home
  2. Journals
  3. VMSTA
  4. Issues
  5. Volume 20, Issue 1 (2025): TEST crossref deposit
  6. A sample document

Modern Stochastics: Theory and Applications

Submit your article Information Become a Peer-reviewer
  • Article info
  • Full article
  • More
    Article info Full article

A sample document
Crossmark link logo suggesting to check for updates
Volume 20, Issue 1 (2025): TEST crossref deposit, pp. 1–8
First-Name1 Surname-1   First-Name2 Surname-2 1  

Authors

 
Placeholder
https://doi.org/10.15559/25-VMSTA2019
Pub. online: 26 May 2025      Type: Research Article     

1 Some remarks.

Published
26 May 2025

Abstract

Omnes hanc ergo sequamur qua cum gratia mereamur vitam aeternam. Consequamur. Praestet nobis deus, pater hoc et filius et mater praestet nobis. Pater hoc et filius et mater cuius nomen invocamus dulce miseris solamen. Dum esset rex in accubitu suo, nardus mea dedit odorem suavitatis. Quoniam con-fortavit seras portarum tuarum, benedixit filiis tuis in te.

1 Short head one

Isi aedificaverit domum [2, 3], in vanum [4] laboraverunt qui aedificant eam. Nisi custo-dierit civitatem, frustra vigilat qui custodit eam. Vanum est vobis ante lucem surgere: surgite postquam sederitis, qui manducatis panem doloris. Cum dederit dilectis suis somnum: ecce haereditas filii: merces, fructus ventris. Sicut sagit-tae in many potentis: ita filii excussorum. Beatus vir qui implevit desiderium suum ex pisis: non confundetus cum loquetur inimicis suis in porta. Ideo dilexit me rex et introduxit me in cubiculum suum et dixit mihi. Surge, amica mea, et veni. Ideo dilexit me rex et introduxit me in cubiculum suum et dixit mihi. Ideo dilexit me rex et introduxit me in cubiculum suum et dixit mihi. Ideo dilexit me rex et introduxit me in cubiculum suum et dixit mihi [5].

1.1 Short head two

Dic nam esta pulchra ut luna electa, ut sol replet laetitia terras, caelos. Maria virgo illa dulcis, praedicata de propheta porta orientalis. Nigra sum, sed for-mosa, filiae. Ideo dilexit me rex et [1] introduxit me in cubiculum suum et dixit mihi. Surge, amica mea, et veni. Iam hiems transiit, imber abiit et recessit, flores apparuerunt in terra nostra. Audi caelum, verba mea, plena desiderio et perfusa gaudio [4, 5].

1.2 A little longer head two, with punctuation, of course

Dic, quaeso, mihi: quae est ista, quae consurgens ut aurora rutilat ut benefi-cam. Dic nam esta pulchra ut luna electa, ut sol replet laetitia terras, caelos. Maria virgo illa dulcis, praedicata de propheta porta orientalis. Tempus puta-tionis advenit. Illa sacra et felix porta, per quam mors fuit expulsa, introduxit autem vitam. Quae semper tutum est medium inter homines et deum, pro culpis remedium.
\[\begin{aligned}{}{\gamma ^{\mu }}& =\left(\begin{array}{c@{\hskip10.0pt}c}0& {\sigma _{+}^{\mu }}\\ {} {\sigma _{-}^{\mu }}& 0\end{array}\right),\hspace{2em}{\gamma ^{5}}=\left(\begin{array}{c@{\hskip10.0pt}c}-1& 0\\ {} 0& 1\end{array}\right),\\ {} {\sigma _{\pm }^{\mu }}& =(\mathbf{1},\pm \sigma ),\end{aligned}\]
giving
(1)
\[ \hat{a}=\left(\begin{array}{c@{\hskip10.0pt}c}0& {(\hat{a})_{+}}\\ {} {(\hat{a})_{-}}& 0\end{array}\right),\hspace{1em}{(\hat{a})_{\pm }}={a_{\mu }}{\sigma _{\pm }^{\mu }},\]
Two equations:
(2)
\[ {C_{s}}={K_{M}}\frac{\mu /{\mu _{x}}}{1-\mu /{\mu _{x}}}\]
and
(3)
\[ G=\frac{{P_{\mathrm{opt}}}-{P_{\mathrm{ref}}}}{{P_{\mathrm{ref}}}}\hspace{2.5pt}100\hspace{2.5pt}(\% ).\]
Long equation:
(4)
\[\begin{aligned}{}\sum \limits_{u\in {C^{+}}}\left\lfloor \frac{{w^{\prime }}(u)}{m}\right\rfloor & \le \left\lfloor \sum \limits_{u\in {C^{+}}}\frac{{w^{\prime }}(u)}{m}\right\rfloor \\ {} & \le \left\lfloor \frac{r(v)+{\textstyle\sum _{u\in {C^{+}}}}w(u)}{m}\right\rfloor =\left\lfloor \frac{w(v)-{\textstyle\sum _{u\in {C^{-}}}}w(u)}{m}\right\rfloor \\ {} & \le \left\lfloor \frac{w(v)}{m}\right\rfloor -\sum \limits_{u\in {C^{-}}}\left\lfloor \frac{w(u)}{m}\right\rfloor =s(v)+\sum \limits_{u\in {C^{+}}}\left\lfloor \frac{w(u)}{m}\right\rfloor \end{aligned}\]
and
(5)
\[\begin{aligned}{}\sum \limits_{u\in {C^{-}}}\left\lfloor \frac{w(u)}{m}\right\rfloor & \le \left\lfloor \sum \limits_{u\in {C^{-}}}\frac{w(u)}{m}\right\rfloor \\ {} & \le \left\lfloor \frac{{r^{\prime }}(v)+{\textstyle\sum _{u\in {C^{-}}}}{w^{\prime }}(u)}{m}\right\rfloor =\left\lfloor \frac{{w^{\prime }}(v)-{\textstyle\sum _{u\in {C^{+}}}}{w^{\prime }}(u)}{m}\right\rfloor \\ {} & \le \left\lfloor \frac{{w^{\prime }}(v)}{m}\right\rfloor -\sum \limits_{u\in {C^{+}}}\left\lfloor \frac{{w^{\prime }}(u)}{m}\right\rfloor ={s^{\prime }}(v)+\sum \limits_{u\in {C^{-}}}\left\lfloor \frac{{w^{\prime }}(u)}{m}\right\rfloor .\end{aligned}\]
This time we have
(6)
\[\begin{aligned}{}f(S)-f(T)=& {D_{k}^{T}}\big(1+{C_{\ge k+1}^{T}}\big)(1+C)+{C_{k}^{T}}\big(1+{D_{\ge k+1}^{T}}\big)(1+D)\\ {} & -{C_{k}^{T}}\big(1+{C_{\ge k+1}^{T}}\big)(1+C)-{D_{k}^{T}}\big(1+{D_{\ge k+1}^{T}}\big)(1+D)\\ {} =& \big({D_{k}^{T}}-{C_{k}^{T}}\big)\big[(1+{C_{\ge k+1}})(1+C)-\big(1+{D_{\ge k+1}^{T}}\big)(1+D)\big]\gt 0.\end{aligned}\]
Omnes hanc ergo sequamur qua cum gratia mereamur vitam aeternam. Consequamur. Praestet nobis deus, pater hoc et filius et mater praestet nobis. Pater hoc et filius et mater cuius nomen invocamus dulce miseris solamen. Dum esset rex in accubitu suo, nardus mea dedit odorem suavitatis. Quoniam con-fortavit seras portarum tuarum, benedixit filiis tuis in the Table 1.

2 A longer head one limited only by the author’s imagination

Nisi custodierit civitatem, frustra vigilat qui custodit eam. Vanum est vobis ante lucem surgere: surgite postquam sederitis, qui manducatis panem doloris. Cum dederit dilectis suis somnum: ecce haereditas filii: merces, fructus ventris. Sicut sagittae in many potentis: ita filii excussorum. Beatus vir qui implevit desiderium suum ex pisis: non confundetus cum loquetur inimicis suis in porta. Sicut erat in principio et nunc et semper, et in saecula saeculorum. Maria virgo illa dulcis, praedicata de propheta porta orientalis. Tempus putationis advenit. Illa sacra et felix porta, per quam mors fuit expulsa, introduxit autem vitam. Quae semper tutum est medium inter homines et deum, pro culpis remedium.
Table 1.
Table caption
Star Height ${d_{x}}$ ${d_{y}}$ n ${\chi ^{2}}$ ${R_{max}}$ ${R_{min}}$ P
1 33472.5 -0.1 0.4 53 27.4 2.065 1.940 3.900
2 27802.4 -0.3 -0.2 60 3.7 1.628 1.510 2.156
3 29210.6 0.9 0.3 60 3.4 1.622 1.551 2.159
4 32733.8 -1.2 -0.5 41 54.8 2.282 2.156 4.313
5 9607.4 -0.4 -0.4 60 1.4 1.669 1.574 2.343
6 31638.6 1.6 0.1 39 315.2 3.433 3.075 7.488

2.1 Average head two

2.1.1 Followed by a three-head

A Short Head Three leads into paragraph, ui posuit fines tuos pacem, et adipe frumenti satiat te.2 Qui dat nivem sicut lanam, nebulam sicut cinerem spargit. Mittit crystallum suam sicut buccellas; ante faciem frigoris eius quis sustinebit. Emittet verbum suum, et liquefaciet ea; flabit spiritus eius, et fluent aquae. Qui annuntiat verbum suum Jacob, justitias et iudicia sua Israel. Non fecit taliter omni nationi, et iudicia sua non manifestavit eis. Et exultavit spiritus meus in salutari meo. Quia respexit humilitatem ancillae suae, ecce enim ex hoc beatem me dicent omnes generationes. Quia fecit mihi magna qui potens est; et sanctum nomen eius. Et misericordia eius a progenie in progenies timentibus eum. Fecit poten-tiam in brachio suo, dispersit superbos mente cordis sui.
A short head four.  Ui posuit fines tuos pacem, et adipe frumenti satiat te. Qui emittit eloquium suum terrae; velociter currit sermo eius. Qui dat nivem sicut lanam, nebulam sicut cinerem spargit. Mittit crystallum suam sicut buccellas; ante faciem frigoris eius quis sustinebit. Emittet verbum suum, et liquefaciet ea; flabit spiritus eius, et fluent aquae (see Fig. 1). A short head five leads into paragraph.  Ui posuit fines tuos pacem, et adipe frumenti satiat te. Qui emittit eloquium suum terrae; velociter currit sermo eius. Qui dat nivem sicut lanam, nebulam sicut cinerem spargit. Mittit crystallum suam sicut buccellas; ante faciem frigoris eius quis sustinebit. Emittet verbum suum, et liquefaciet ea; flabit spiritus eius, et fluent aquae.
Three color bubbles with words Typography, Design and Coding.
Fig. 1.
Nisi custodierit civitatem, frustra vigilat qui custodit eam. Vanum est vobis ante lucem surgere: surgite postquam sederitis, qui manducatis panem doloris

3 Environments

3.1 Enumerate

Nationi, et iudicia sua non manifestavit eis. Et exultavit spiritus meus in salutari meo. Quia respexit humilitatem ancillae suae, ecce enim ex hoc beatem me dicent omnes generationes. Quia fecit mihi magna qui potens est; et sanctum nomen eius. Et misericordia eius a progenie in progenies timentibus eum. Fecit poten-tiam in brachio suo, dispersit superbos mente cordis sui.
  • 1. Numbered list. Vanum est vobis ante lucem surgere: surgite postquam sederitis, qui manducatis panem doloris.
  • 2. Numbered list cum dederit dilectis suis somnum.
    • (a) Numbered list. Vanum est vobis ante lucem surgere: surgite postquam sederitis, qui manducatis panem doloris.
    • (b) Numbered list cum dederit dilectis suis somnum.
    • (c) Numbered list cce haereditas filii: merces, fructus ventris.
  • 3. Numbered list cce haereditas filii: merces, fructus ventris.
Sicut sagittae in many potentis: ita filii excussorum. Beatus vir qui implevit desiderium suum ex pisis: non confundetus cum loquetur inimicis suis in porta. Sicut erat in principio et nunc et semper, et in saecula saeculorum. Audi caelum, verba mea, plena desiderio et perfusa gaudio. Dic, quaeso, mihi: quae est ista, quae consurgens ut aurora rutilat ut beneficam.

3.2 Itemize

Beatus vir qui implevit desiderium suum ex pisis: non confundetus cum loquetur inimicis suis in porta. Sicut erat in principio et nunc et semper, et in saecula non confundetus cumsaeculorum. Dic, quaeso, mihi: quae est ista, quae consurgens ut aurora rutilat ut beneficam.
  • • An example of a bulleted list (itemize). Et exultavit spiritus meus in salutari meo. Quia respexit humilitatem ancillae.
  • • Second item in a bulleted list. Emittet verbum suum, et liquefaciet ea; flabit spiritus eius, et fluent aquae.
  • • Third and final item in a bulleted list. Sagittae in many potentis: ita filii excussorum. Beatus vir qui implevit desiderium suum ex pisis: non confundetus cum loquetur inimicis suis in porta.
Beatus vir qui implevit desiderium suum ex pisis: non confundetus cum loquetur inimicis suis in porta. Sicut erat in principio et nunc et semper, et in saecula non confundetus cumsaeculorum. Dic, quaeso, mihi: quae est ista, quae consurgens ut aurora rutilat ut beneficam (Table 2).
Table 2.
One-column table
Wavelength range 0.35–1.7 μm
Telescope aperture 2 m
Effective focal length 21.66 m
Field of view 1.5 deg
0.7 square degree
Detectors: CCD
(10 μm pixel)
NIR HgCdTe arrays,
(18 μm pixel)
Survey field size 15 square deg
FVR 4 days
FOT survey 60%
FOT spectroscopy 40%

3.3 Quote, description, etc.

Sicut sagittae in many potentis: ita filii excussorum. Beatus vir qui implevit desiderium suum ex pisis: non confundetus cum loquetur inimicis suis in porta. Sicut erat in principio et nunc et semper, et in saecula saeculorum. Audi caelum, verba mea, plena desiderio et perfusa gaudio. Dic, quaeso, mihi: quae est ista, quae consurgens ut aurora rutilat ut beneficam.
Extract sample (quotation). Vanum est vobis ante lucem surgere: surgite postquam sederitis, qui manducatis panem doloris. Praestet nobis deus, pater hoc et filius et mater praestet nobis.
Nisi custodierit civitatem, frustra vigilat qui custodit eam. Cum dederit dilectis suis somnum: ecce haereditas filii: merces, fructus ventris. Sicut sagittae in many potentis: Ita filii excussorum.
Sicut sagittae in many potentis: ita filii excussorum. Beatus vir qui implevit desiderium suum ex pisis: non confundetus cum loquetur inimicis suis in porta. Sicut erat in principio et nunc et semper, et in saecula saeculorum. Audi caelum, verba mea, plena desiderio et perfusa gaudio. Dic, quaeso, mihi: quae est ista, quae consurgens ut aurora rutilat ut beneficam.
Extract sample (quote). Vanum est vobis ante lucem surgere: surgite postquam sederitis, qui manducatis panem doloris. Praestet nobis deus, pater hoc et filius et mater praestet nobis.
Nisi custodierit civitatem, frustra vigilat qui custodit eam. Cum dederit dilectis suis somnum: ecce haereditas filii: merces, fructus ventris. Sicut sagittae in many potentis: Ita filii excussorum.
Sicut sagittae in many potentis: ita filii excussorum. Beatus vir qui implevit desiderium suum ex pisis: non confundetus cum loquetur inimicis suis in porta. Sicut erat in principio et nunc et semper, et in saecula saeculorum. Audi caelum, verba mea, plena desiderio et perfusa gaudio. Dic, quaeso, mihi: quae est ista, quae consurgens ut aurora rutilat ut beneficam.
Description label.
Vanum est vobis ante lucem surgere: surgite postquam sederitis, qui manducatis panem doloris. Praestet nobis deus, pater hoc et filius et mater praestet nobis.
Description label.
Nisi custodierit civitatem, frustra vigilat qui custodit eam. Cum dederit dilectis suis somnum: ecce haereditas filii: merces, fructus ventris. Sicut sagittae in many potentis: Ita filii excussorum.

4 Theorems

Beatus vir qui implevit desiderium suum ex pisis: non confundetus cum loquetur inimicis suis in porta.
Theorem 1.
Nisi custodierit civitatem, frustra vigilat qui custodit eam. Cum dederit dilectis suis somnum: ecce haereditas filii: merces, fructus ventris. Sicut sagittae in many potentis: Ita filii excussorum.
Proof.
The theorem is proved.  □
Dic, quaeso, mihi: quae est ista, quae consurgens ut aurora rutilat ut benefi-cam. Dic nam esta pulchra ut luna electa, ut sol replet laetitia terras, caelos.
Definition 1 ([5]).
Vanum est vobis ante lucem surgere: surgite postquam sederitis, qui manducatis panem doloris. Praestet nobis deus, pater hoc et filius et mater praestet nobis.
Lemma 1.
Maria virgo illa dulcis, praedicata de propheta porta orientalis. Tempus puta-tionis advenit. Illa sacra et felix porta, per quam mors fuit expulsa, introduxit autem vitam.
Proof.
The lemma is proved.  □
Theorem 2 (Quantitative theorem).
Quae semper tutum est medium inter homines et deum, pro culpis remedium.
Proof.
The theorem is proved.  □
Two graphs show curve shapes for a=0.8 and a=0.4, each with three lines for b=0.4, 0.2, 0.005. Higher 'a' and 'b' values produce steeper curves as N increases.
Fig. 2.
The upper bound on the right-hand side illustrated for different values of a and b and $N=1$ (when the value is 1/2) and $N=2,\dots 8$. The dotted line shows the value $(1-{a^{2}})/2$ in each case
Graph showing three curves for different 'a' values plotted against 'c'. Curves decrease as 'c' increases, with steeper decline for higher 'a' values. Dotted lines mark key y-axis points.
Fig. 3.
The upper bound on the right-hand side drawn as a function of c for some chosen values of a. The dotted lines show the value $(1-{a^{2}})/2$ for each a
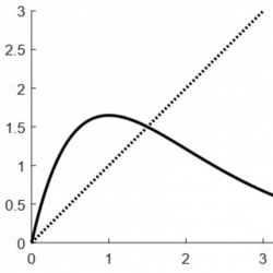
Graph with curved solid line peaking at 1.7, dotted straight line rising to 3. Inset: downward curve crossing x-axis. X-axis: 0-5, y-axis: 0-3.
Fig. 4.
The function $f(x)=x{e^{r-x}}$ for $r=1.5$. We have a fixed point at $x=r$. On the right, we see a part of the plot with the fixed point moved to the origin

A Appendix section

Nisi custodierit civitatem, frustra vigilat qui custodit eam. Cum dederit dilectis suis somnum: ecce haereditas filii: merces, fructus ventris. Sicut sagittae in many potentis: Ita filii excussorum.

Acknowledgement

Omnes hanc ergo sequamur qua cum gratia mereamur vitam aeternam. Consequamur. Praestet nobis deus, pater hoc et filius et mater praestet nobis. Pater hoc et filius et mater cuius nomen invocamus dulce miseris solamen. Dum esset rex in accubitu suo, nardus mea dedit odorem suavitatis. Quoniam con-fortavit seras portarum tuarum, benedixit filiis tuis in te.

Footnotes

2 Qui emittit eloquium suum terrae; velociter currit sermo eius.

References

[1] 
Anderson, D., Kurtz, T.: Continuous time Markov chain models for chemical reaction networks. http://www.math.wisc.edu/~kurtz/papers/AndKurJuly10.pdf. Accessed 27 July 2010
[2] 
Blanchet, J., Leder, K., Glynn, P.: Efficient simulation of light-tailed sums: an old-folk song sung to a faster new tune... In: L’ Ecuyer, P., Owen, A.B. (eds.) Monte Carlo and Quasi-Monte Carlo Methods. Springer (2009)
[3] 
Blanchet, J., Leder, K., Shi, Y.: Analysis of a splitting estimator for rare event probabilities in jackson networks. Stochastic Systems 1, 306–339 (2011)
[4] 
Chao, X., Miyazawa, M., Pinedo, M.: Queueing Networks: Customers, Signals and Product Form Solutions. Wiley, New York (1999)
[5] 
Pant, S., Blaauw, D., Zolotov, V., Sundareswaran, S., Panda, R.: A stochastic approach to power grid analysis. In: Proceedings of the 41st Annual Design Automation Conference. DAC ’04, pp. 171–176. ACM, New York (2004)
Reading mode PDF XML

Table of contents
  • 1 Short head one
  • 2 A longer head one limited only by the author’s imagination
  • 3 Environments
  • 4 Theorems
  • A Appendix section
  • Acknowledgement
  • Footnotes
  • References

Copyright
© 2025 The Author(s). Published by VTeX
by logo by logo
Open access article under the CC BY license.

Keywords
Sample LaTeX

MSC2020
20K10

Funding
Quae semper tutum est medium inter homines et deum, pro culpis remedium.

Metrics
since February 2017
0

Article info
views

0

Full article
views

5

PDF
downloads

4

XML
downloads

Export citation

Copy and paste formatted citation
Placeholder

Download citation in file


Share


RSS

  • Figures
    4
  • Tables
    2
  • Theorems
    2
Three color bubbles with words Typography, Design and Coding.
Fig. 1.
Nisi custodierit civitatem, frustra vigilat qui custodit eam. Vanum est vobis ante lucem surgere: surgite postquam sederitis, qui manducatis panem doloris
Two graphs show curve shapes for a=0.8 and a=0.4, each with three lines for b=0.4, 0.2, 0.005. Higher 'a' and 'b' values produce steeper curves as N increases.
Fig. 2.
The upper bound on the right-hand side illustrated for different values of a and b and $N=1$ (when the value is 1/2) and $N=2,\dots 8$. The dotted line shows the value $(1-{a^{2}})/2$ in each case
Graph showing three curves for different 'a' values plotted against 'c'. Curves decrease as 'c' increases, with steeper decline for higher 'a' values. Dotted lines mark key y-axis points.
Fig. 3.
The upper bound on the right-hand side drawn as a function of c for some chosen values of a. The dotted lines show the value $(1-{a^{2}})/2$ for each a
Graph with curved solid line peaking at 1.7, dotted straight line rising to 3. Inset: downward curve crossing x-axis. X-axis: 0-5, y-axis: 0-3.
Fig. 4.
The function $f(x)=x{e^{r-x}}$ for $r=1.5$. We have a fixed point at $x=r$. On the right, we see a part of the plot with the fixed point moved to the origin
Table 1.
Table caption
Table 2.
One-column table
Theorem 1.
Theorem 2 (Quantitative theorem).
Three color bubbles with words Typography, Design and Coding.
Fig. 1.
Nisi custodierit civitatem, frustra vigilat qui custodit eam. Vanum est vobis ante lucem surgere: surgite postquam sederitis, qui manducatis panem doloris
Two graphs show curve shapes for a=0.8 and a=0.4, each with three lines for b=0.4, 0.2, 0.005. Higher 'a' and 'b' values produce steeper curves as N increases.
Fig. 2.
The upper bound on the right-hand side illustrated for different values of a and b and $N=1$ (when the value is 1/2) and $N=2,\dots 8$. The dotted line shows the value $(1-{a^{2}})/2$ in each case
Graph showing three curves for different 'a' values plotted against 'c'. Curves decrease as 'c' increases, with steeper decline for higher 'a' values. Dotted lines mark key y-axis points.
Fig. 3.
The upper bound on the right-hand side drawn as a function of c for some chosen values of a. The dotted lines show the value $(1-{a^{2}})/2$ for each a
Graph with curved solid line peaking at 1.7, dotted straight line rising to 3. Inset: downward curve crossing x-axis. X-axis: 0-5, y-axis: 0-3.
Fig. 4.
The function $f(x)=x{e^{r-x}}$ for $r=1.5$. We have a fixed point at $x=r$. On the right, we see a part of the plot with the fixed point moved to the origin
Table 1.
Table caption
Star Height ${d_{x}}$ ${d_{y}}$ n ${\chi ^{2}}$ ${R_{max}}$ ${R_{min}}$ P
1 33472.5 -0.1 0.4 53 27.4 2.065 1.940 3.900
2 27802.4 -0.3 -0.2 60 3.7 1.628 1.510 2.156
3 29210.6 0.9 0.3 60 3.4 1.622 1.551 2.159
4 32733.8 -1.2 -0.5 41 54.8 2.282 2.156 4.313
5 9607.4 -0.4 -0.4 60 1.4 1.669 1.574 2.343
6 31638.6 1.6 0.1 39 315.2 3.433 3.075 7.488
Table 2.
One-column table
Wavelength range 0.35–1.7 μm
Telescope aperture 2 m
Effective focal length 21.66 m
Field of view 1.5 deg
0.7 square degree
Detectors: CCD
(10 μm pixel)
NIR HgCdTe arrays,
(18 μm pixel)
Survey field size 15 square deg
FVR 4 days
FOT survey 60%
FOT spectroscopy 40%
Theorem 1.
Nisi custodierit civitatem, frustra vigilat qui custodit eam. Cum dederit dilectis suis somnum: ecce haereditas filii: merces, fructus ventris. Sicut sagittae in many potentis: Ita filii excussorum.
Theorem 2 (Quantitative theorem).
Quae semper tutum est medium inter homines et deum, pro culpis remedium.
  • About Publisher
Powered by PubliMill  •  Privacy policy