VTeX: Solutions for Science Publishing logo


  • List of journals
  • Browse subjects
  • About Publisher
  • Help
  • Sitemap
Login Register

  1. Home
  2. Journals
  3. VMSTA
  4. Issues
  5. Volume 6, Issue 1 (2019)
  6. Ruin probability for the bi-seasonal dis ...

Modern Stochastics: Theory and Applications

Submit your article Information Become a Peer-reviewer
  • Article info
  • Full article
  • Related articles
  • More
    Article info Full article Related articles

Ruin probability for the bi-seasonal discrete time risk model with dependent claims
Crossmark link logo suggesting to check for updates
Volume 6, Issue 1 (2019), pp. 133–144
Olga Navickienė   Jonas Sprindys   Jonas Šiaulys  

Authors

 
Placeholder
https://doi.org/10.15559/18-VMSTA118
Pub. online: 1 October 2018      Type: Research Article      Open accessOpen Access

Received
19 July 2018
Revised
22 September 2018
Accepted
22 September 2018
Published
1 October 2018

Abstract

The discrete time risk model with two seasons and dependent claims is considered. An algorithm is created for computing the values of the ultimate ruin probability. Theoretical results are illustrated with numerical examples.

1 Introduction

In this paper, we consider the bi-seasonal discrete time risk model with dependent claims.
We say that the insurer’s surplus ${W_{u}}$ varies according to the bi-seasonal risk model with dependent claims if
\[ {W_{u}}(n)=u+n-{\sum \limits_{i=1}^{n}}{Z_{i}}\]
for all $n\in {\mathbb{N}_{0}}=\{0,1,2,\dots \}$ and the following assumptions hold:
  • • the initial insurer’s surplus is $u\in {\mathbb{N}_{0}}$,
  • • there exists a random vector $(X,Y)$ such that $({Z_{2k-1}},{Z_{2k}})\hspace{0.1667em}\stackrel{d}{=}\hspace{0.1667em}(X,Y)$, $k\in \mathbb{N}$,
  • • the random vectors $({Z_{2k-1}},{Z_{2k}})$, $k\in \mathbb{N}$, are independent,
  • • the generating random vector $(X,Y)$ has the distribution defined by the table below, where ${h_{i,j}}=\mathbb{P}$ $(X=i,Y=j)$, $i,j\in {\mathbb{N}_{0}}$:
    $X\setminus Y$ 0 1 2 3 …
    0 ${h_{0,0}}$ ${h_{0,1}}$ ${h_{0,2}}$ ${h_{0,3}}$ …
    1 ${h_{1,0}}$ ${h_{1,1}}$ ${h_{1,2}}$ ${h_{1,3}}$ …
    2 ${h_{2,0}}$ ${h_{2,1}}$ ${h_{2,2}}$ ${h_{2,3}}$ …
    … … … … … …
If X and Y are independent random variables, then the model reduces to the one considered in [8]. If, in addition, X and Y are identically distributed, then the bi-seasonal discrete time risk model with dependent claims becomes the classical discrete time risk model.
The time of ruin and the ruin probability are the main extremal characteristics of insurance risk models. The time of ruin is defined by the equality
\[ {T_{u}}=\left\{\begin{array}{l}\min \{n\geqslant 1:{W_{u}}(n)\leqslant 0\},\hspace{1em}\\ {} \infty ,\hspace{2.5pt}\text{if}\hspace{2.5pt}{W_{u}}(n)>0\hspace{2.5pt}\text{for all}\hspace{2.5pt}\hspace{2.5pt}n\in \mathbb{N}.\hspace{1em}\end{array}\right.\]
The ultimate ruin probability, or simply ruin probability, is defined by the following equality:
\[ \psi (u)=\mathbb{P}({T_{u}}<\infty ).\]
In the case of the classical discrete time risk model, recursive procedures for calculating exact values of $\psi (u)$ are well known. These procedures and related information can be found in [9–14, 19, 26, 27] among others.
The recursive calculation of $\psi (u)$ is relatively simple in the classical discrete time risk model because of the explicit formula for $\psi (0)$. If the consecutive claim amounts ${Z_{1}},{Z_{2}},\dots $ are no longer identically distributed or independent, then the classical discrete time risk model becomes the inhomogeneous discrete time risk model. For all such models, the algorithms for finding values of the ruin probabilities are much more complicated. Several results related to the calculation of the ruin probabilities for inhomogeneous renewal risk models can be found in [1–8, 15–17, 23–25] and [28].
The aim of this paper is to derive an algorithm for computing the values of the ultimate ruin probability in the bi-seasonal discrete time risk model with dependent claims. Theoretical results are illustrated with numerical examples.
The rest of the paper is organized as follows. In Section 2, we present our main results. In Sections 3 and 4, the proofs of the main results are given. Finally, in Section 5 we present some examples, which show the applicability of our results.

2 Main results

Let us introduce some notation used in our results. By
\[ {x_{k}}=\mathbb{P}(X=k),\hspace{2em}{y_{k}}=\mathbb{P}(Y=k),\hspace{2em}{s_{k}}=\mathbb{P}(S=k),\hspace{1em}k\in {\mathbb{N}_{0}},\]
we denote the marginal distributions of the random variables X, Y and their sum $S=X+Y$, respectively. The distribution functions of these random variables are denoted by ${F_{X}}$, ${F_{Y}}$ and ${F_{S}}$, i.e.
\[\begin{array}{l}\displaystyle {F_{X}}(u)=\mathbb{P}(X\leqslant u)={\sum \limits_{k=0}^{\lfloor u\rfloor }}{x_{k}},\hspace{2em}{F_{Y}}(u)=\mathbb{P}(Y\leqslant u)={\sum \limits_{k=0}^{\lfloor u\rfloor }}{y_{k}},\\ {} \displaystyle {F_{S}}(u)=\mathbb{P}(S\leqslant u)={\sum \limits_{k=0}^{\lfloor u\rfloor }}{s_{k}}\end{array}\]
for all $u\ge 0$. The notation $\overline{F}$ is used for the tail of an arbitrary distribution function F, i.e. $\overline{F}(u)=1-F(u)$ for all $u\in \mathbb{R}$.
Furthermore, the survival probability is denoted by $\varphi (u)=1-\psi (u)$ for all $u\in {\mathbb{N}_{0}}$. It should be noted that our main results are formulated in terms of the survival probability.
Theorem 2.1.
Let the bi-seasonal discrete time risk model be generated by the random vector $(X,Y)$, where X and Y are nonnegative and integer-valued random variables such that $\mathbb{E}X+\mathbb{E}Y<2$. In this case
(1)
\[ \underset{u\to \infty }{\lim }\varphi (u)=1.\]
  • • If ${s_{0}}={h_{0,0}}>0$, then
    (2)
    \[ \varphi (0)=(2-\mathbb{E}S)\underset{n\to \infty }{\lim }\hspace{2.5pt}\frac{{b_{n+1}}-{b_{n}}}{{a_{n}}-{a_{n+1}}},\]
    (3)
    \[ \varphi (u)={a_{u}}\varphi (0)+{b_{u}}(2-\mathbb{E}S),\hspace{1em}u\in \mathbb{N},\]
    where ${a_{n}}$ and ${b_{n}}$ are two sequences of real numbers defined recursively by the equalities:
    \[\begin{aligned}{}& {a_{1}}=-\frac{1}{{y_{0}}},\hspace{2em}{a_{n}}=\frac{1}{{s_{0}}}\Bigg({a_{n-2}}-{\sum \limits_{i=1}^{n-1}}{s_{i}}{a_{n-i}}+{a_{1}}{h_{n-1,0}}\Bigg),\hspace{1em}n\in \{2,3,\dots \};\\ {} & {b_{1}}=\frac{1}{{y_{0}}},\hspace{2em}{b_{n}}=\frac{1}{{s_{0}}}\Bigg({b_{n-2}}-{\sum \limits_{i=1}^{n-1}}{s_{i}}{b_{n-i}}+{b_{1}}{h_{n-1,0}}\Bigg),\hspace{1em}n\in \{2,3,\dots \}.\end{aligned}\]
  • • If ${s_{0}}=0$ with ${x_{0}}\ne 0$ and ${y_{0}}=0$, then
    \[\begin{array}{r@{\hskip10.0pt}c@{\hskip10.0pt}l}& & \displaystyle \varphi (0)=2-\mathbb{E}S,\\ {} & & \displaystyle \varphi (u)=\frac{1}{{s_{1}}}\Bigg(\varphi (u-1)-{\sum \limits_{k=2}^{u}}{s_{k}}\varphi (u-k+1)\Bigg),\hspace{1em}u\in \mathbb{N}.\end{array}\]
  • • If ${s_{0}}=0$ with ${x_{0}}=0$ and ${y_{0}}\ne 0$, then
    \[\begin{aligned}{}& \varphi (0)=0,\\ {} & \varphi (1)=\frac{1}{{y_{0}}}(2-\mathbb{E}S),\\ {} & \varphi (u)=\frac{1}{{s_{1}}}\Bigg(\varphi (u-1)-{\sum \limits_{k=2}^{u}}{s_{k}}\varphi (u-k+1)+{h_{u,0}}\hspace{0.1667em}\varphi (1)\Bigg),\hspace{1em}u\in \{2,3,\dots \}.\end{aligned}\]
Theorem 2.2.
Let the bi-seasonal discrete time risk model be generated by the random vector $(X,Y)$, where X and Y are nonnegative and integer-valued random variables such that the net profit condition is not satisfied, i.e. $\mathbb{E}X+\mathbb{E}Y\geqslant 2$.
If $\mathbb{E}X+\mathbb{E}Y>2$, then $\varphi (u)=0$ for all $u\in {\mathbb{N}_{0}}$.
If $\mathbb{E}X+\mathbb{E}Y=2$, then we have the following possible subcases:
  • • $\varphi (u)=0$, $u\in {\mathbb{N}_{0}}$, if ${s_{2}}={h_{0,2}}+{h_{1,1}}+{h_{2,0}}<1$;
  • • $\varphi (0)=0$, $\varphi (u)=1$, $u\in \mathbb{N}$, if ${s_{2}}=1$ and ${h_{2,0}}=0$;
  • • $\varphi (0)=\varphi (1)=0$, $\varphi (u)=1$, $u\in \{2,3,\dots \}$, if ${s_{2}}=1$ and ${h_{2,0}}>0$.

3 Proof of Theorem 2.1

The proof is greatly influenced by the proofs given in [8]. Therefore, many details that can be found there are omitted.
At the beginning of the proof consider the general case with $\mathbb{E}S\geqslant 0$. By the total probability formula, we get the following basic recursive formula for all $u\in {\mathbb{N}_{0}}$:
(4)
\[\begin{aligned}{}\varphi (u)& ={\sum \limits_{k=0}^{u+1}}{s_{k}}\varphi (u+2-k)-{h_{u+1,0}}\varphi (1)\\ {} & ={\sum \limits_{k=0}^{u+1}}{s_{u+1-k}}\varphi (k+1)-{h_{u+1,0}}\varphi (1).\end{aligned}\]
The obtained equality implies that
\[ {\sum \limits_{l=0}^{u}}\varphi (l)={\sum \limits_{l=0}^{u}}{\sum \limits_{k=0}^{l+1}}{s_{l+1-k}}\varphi (k+1)-\varphi (1){\sum \limits_{l=0}^{u}}{h_{l+1,0}},\hspace{1em}u\in {\mathbb{N}_{0}}.\]
By rearranging the terms we obtain
\[\begin{aligned}{}{\sum \limits_{k=0}^{u+2}}\varphi (k){\overline{F}_{S}}(u+2-k)& =\varphi (u+1)+\varphi (u+2)\\ {} & \hspace{1em}-\varphi (1){\sum \limits_{l=0}^{u+1}}{h_{l,0}}-\varphi (0){F_{S}}(u+2).\end{aligned}\]
Passing to the limit as $u\to \infty $ in the last equality and applying arguments similar to those in [8] we get
(5)
\[ (2-\mathbb{E}S)\varphi (\infty )={y_{0}}\varphi (1)+\varphi (0).\]
Now let us restrict to the case $\mathbb{E}S<2$. Equality (1) is proved using the strong law of large numbers, and the proof is identical to the proof of the first part of Theorem 2.3 in [8]. As a result we get
(6)
\[ 2-\mathbb{E}S={y_{0}}\varphi (1)+\varphi (0).\]
Suppose now that ${s_{0}}={h_{0,0}}\ne 0$. Then (3) can be derived by induction with induction basis obtained from (6). Equality (2) can be derived in a way similar to that in [8] with only the difference that the coefficients ${a_{n}}$ used in the proof are different.
It remains to consider the case where ${s_{0}}={h_{0,0}}=0$. Since $\mathbb{E}S<2$, it follows that ${s_{1}}\ne 0$. Two subcases can be considered separately: ${x_{0}}\ne 0$ and ${y_{0}}=0$, or ${x_{0}}=0$ and ${y_{0}}\ne 0$.
In the subcase where ${x_{0}}\ne 0$ and ${y_{0}}=0$, we get the formula for $\varphi (0)$ from (6). The formula for $\varphi (u)$, $u\in \mathbb{N}$, follows from (4) because
\[ 0={y_{0}}={\sum \limits_{k=0}^{\infty }}{h_{k,0}}\]
in the considered case.
If ${x_{0}}=0$ and ${y_{0}}\ne 0$, then we get $\varphi (0)=0$ from (4). Then the formula for $\varphi (1)$ follows from (6), and the formula for $\varphi (u)$ in the case $u\in \{2,3,\dots \}$ can be derived from (4).
Theorem 2.1 is proved.

4 Proof of Theorem 2.2

Let us consider the cases $\mathbb{E}S>2$ and $\mathbb{E}S=2$ separately. The case $\mathbb{E}S>2$ can be proved using the same arguments as in [8].
In the case $\mathbb{E}S=2$, we can easily see from (5) that
(7)
\[ {y_{0}}\varphi (1)+\varphi (0)=0.\]
Therefore, $\varphi (0)=0$. To calculate $\varphi (u),u\in \mathbb{N}$, the subcases ${s_{2}}<1$ and ${s_{2}}=1$ can be considered separately.
Consider the subcase ${s_{2}}<1$ first. We can prove that $\varphi (u)=0,\hspace{2.5pt}u\in \mathbb{N}$, in a way similar to that in [8] using the fact that $\varphi (1){h_{l,0}}=0$ for $l\in {\mathbb{N}_{0}}$, which follows immediately from equality (7).
Now let us consider the subcase ${s_{2}}={h_{0,2}}+{h_{1,1}}+{h_{2,0}}=1$. There are the following possible cases:
  • • If ${h_{2,0}}>0$, then from the main recursive formula (4) we get $\varphi (1)=0$.
  • • If ${h_{2,0}}=0$, then obviously ${W_{1}}(n)\geqslant 1,n\in \mathbb{N}$, and therefore, $\varphi (1)=1$.
For $u\in \{2,3,\dots \}$, it is easy to show that ${W_{u}}(n)\geqslant 1$ for $n\in \mathbb{N}$, and therefore, $\varphi (u)=1$ for such u.
Theorem 2.2 is proved.

5 Numerical examples

In this section, four numerical examples for the calculation of the ruin probability $\psi (u),u\in {\mathbb{N}_{0}}$, are given. The first case deals with the bivariate Poisson distribution, and the next three cases deal with a Clayton copula. The use of copulas is beneficial since it gives the possibility of modeling marginal distributions and dependence between them separately. Furthermore, while the bivariate Poisson distribution allows to model only positive dependence between marginals, a Clayton copula enables to model negative dependence as well.
The numerical simulation procedure goes as follows. First, we can calculate sufficiently many terms of the sequences ${a_{u}}$ and ${b_{u}}$ from Theorem 2.1. Next, we can approximate $\psi (0)$ by
\[ {\psi _{N}}(0)=1-(2-\mathbb{E}S)\frac{{b_{N+1}}-{b_{N}}}{{a_{N}}-{a_{N+1}}}\]
with large enough $N\in \mathbb{N}$. In all the examples below, we take $N=20$. Using the same arguments as in Remark 2.1 of [8] we can obtain both lower and upper bounds for $\psi (0)$ by calculating ${\psi _{N}}(0)$ and ${\psi _{N+1}}(0)$. Then the upper bound for the approximation error of $\psi (0)$ can be calculated by
\[ \Delta =|{\psi _{N}}(0)-{\psi _{N+1}}(0)|.\]
Finally, we can obtain approximations of the ruin probabilities using formula (3) from Theorem 2.1
\[ 1-\psi (u)={a_{u}}\big(1-{\psi _{N}}(0)\big)+{b_{u}}(2-\mathbb{E}S),\hspace{1em}u\in \mathbb{N}.\]
Example 5.1.
Assume that the joint probability mass function of $(X,Y)$ is given by the bivariate Poisson distribution:
\[ \mathbb{P}(X=k,Y=l)={\sum \limits_{i=0}^{\min \{k,l\}}}\frac{{({\lambda _{1}}-\lambda )^{k-i}}{({\lambda _{2}}-\lambda )^{l-i}}{\lambda ^{i}}}{(k-i)!(l-i)!i!}{e^{-({\lambda _{1}}+{\lambda _{2}}-\lambda )}},\hspace{1em}k,l\in {\mathbb{N}_{0}},\]
where ${\lambda _{j}}>0$, $j=1,2$, $0\leqslant \lambda <\min \{{\lambda _{1}},{\lambda _{2}}\}$. Then the marginal distribution of X is Poisson with parameter ${\lambda _{1}}$, the marginal distribution of Y is Poisson with parameter ${\lambda _{2}}$, and $\mathrm{Cov}(X,Y)=\lambda $. If $\lambda =0$, then the two variables are independent, and the results in this case are obtained in [8].
In this example, we take ${\lambda _{1}}=0.3$ and ${\lambda _{2}}=1.4$. We consider three possible values for the covariance parameter $\lambda =\{0.01;0.15;0.29\}$, and the corresponding correlations equal $\{0;0.23;0.46\}$.
In the table and graph below, the results of simulation are given. The ruin probability is calculated for the three values of the covariance parameter mentioned above, and the upper bounds for the approximation errors of $\psi (0)$ are also given.
From the results of simulation it could be observed, that for positively dependent claims the ruin probability is decreasing more slowly. It is also interesting to note that the value of $\psi (0)$ is largest in the case of independent claims.
Table 1.
Values of $\psi (u)$ in Example 5.1
u $\mathrm{cor}=0$ $(\Delta <{10^{-11}})$ $\mathrm{cor}=0.23$ $(\Delta <{10^{-10}})$ $\mathrm{cor}=0.46$ $(\Delta <{10^{-9}})$
0 0.7977 0.7921 0.7868
1 0.6040 0.6264 0.6480
2 0.4469 0.4875 0.5222
3 0.3269 0.3754 0.4165
4 0.2383 0.2880 0.3310
5 0.1736 0.2208 0.2628
6 0.1265 0.1692 0.2085
7 0.0921 0.1297 0.1655
8 0.0671 0.0994 0.1313
9 0.0489 0.0762 0.1042
10 0.0356 0.0584 0.0827
11 0.0260 0.0447 0.0657
12 0.0189 0.0343 0.0521
vmsta-6-1-vmsta118-g001.jpg
Fig. 1.
Values of $\psi (u)$ in Example 5.1
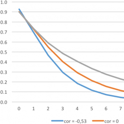
Example 5.2.
This example deals with a Clayton copula and Poisson marginals. Let us denote ${u_{1}}:={F_{X}}(x)$, ${u_{2}}:={F_{Y}}(y)$. Clayton copula is defined by
\[ C({u_{1}},{u_{2}};\theta )=\max {\big\{{u_{1}^{-\theta }}+{u_{2}^{-\theta }}-1,0\big\}^{-1\setminus \theta }},\hspace{1em}{u_{1}},{u_{2}}\in [0,1],\]
where the dependence parameter $\theta \in [-1,\infty )\setminus \{0\}$. The marginals become independent as $\theta \to 0$. Clayton copula can be used to model negative dependence when $\theta \in [-1,0)$. Detailed analysis of this copula can be found, for instance, in [18, 20, 21] and [22].
In this example, the marginal distribution of X is Poisson with parameter 0.3, and the marginal distribution of Y is Poisson with parameter 1.4. We take three values for the covariance parameter $\theta =\{-0.9;0.01;100\}$, and the corresponding correlations equal $\{-0.53;0;0.8\}$.
From the results of simulation it could be observed, that as in Example 5.1 for positively dependent claims the ruin probability is decreasing more slowly. It is also interesting to note that the value of $\psi (0)$ is largest in the case of negatively dependent claims.
Table 2.
Values of $\psi (u)$ in Example 5.2
u $\mathrm{cor}=-0.53$ $(\Delta <{10^{-20}})$ $\mathrm{cor}=0$ $(\Delta <{10^{-11}})$ $\mathrm{cor}=0.8$ $(\Delta <{10^{-10}})$
0 0.8217 0.7977 0.7810
1 0.5064 0.6040 0.6717
2 0.3165 0.4469 0.5715
3 0.1977 0.3269 0.4669
4 0.1231 0.2383 0.3909
5 0.0766 0.1736 0.3221
6 0.0476 0.1265 0.2661
7 0.0296 0.0921 0.2195
8 0.0184 0.0671 0.1812
9 0.0115 0.0489 0.1496
10 0.0071 0.0356 0.1235
11 0.0044 0.0260 0.1019
12 0.0028 0.0189 0.0841
vmsta-6-1-vmsta118-g002.jpg
Fig. 2.
Values of $\psi (u)$ in Example 5.2
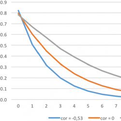
Example 5.3.
This example is the opposite case of Example 5.2. The marginal distribution of X is Poisson with parameter 1.4, and the marginal distribution of Y is Poisson with parameter 0.3. To model the dependence between the marginals, we use the Clayton copula with $\theta =\{-0.9;0.01;100\}$ again, and the corresponding correlations equal $\{-0.53;0;0.8\}$.
From the simulation we can observe that the order of appearance of claims has considerable effect on the ruin probability.
Table 3.
Values of $\psi (u)$ in Example 5.3
u $\mathrm{cor}=-0.53$ $(\Delta <{10^{-20}})$ $\mathrm{cor}=0$ $(\Delta <{10^{-11}})$ $\mathrm{cor}=0.8$ $(\Delta <{10^{-9}})$
0 0.9267 0.9023 0.8988
1 0.6940 0.7269 0.7316
2 0.4653 0.5473 0.5897
3 0.2961 0.4014 0.4859
4 0.1850 0.2926 0.4048
5 0.1151 0.2131 0.3347
6 0.0716 0.1552 0.2763
7 0.0445 0.1131 0.2280
8 0.0277 0.0824 0.1882
9 0.0172 0.0600 0.1553
10 0.0107 0.0437 0.1282
11 0.0067 0.0319 0.1059
12 0.0042 0.0232 0.0874
vmsta-6-1-vmsta118-g003.jpg
Fig. 3.
Values of $\psi (u)$ in Example 5.3
Example 5.4.
All the examples considered so far deal only with light-tailed marginals, but Theorem 2.1 only imposes requirement for the expectations of the marginals while higher order moments can be infinite. In this example, the distribution of the first claim X is Poisson with parameter $\lambda =0.2$, and the second claim Y is distributed according to the Zeta distribution with parameter 2.3, that is
\[ \mathbb{P}(Y=m)=\frac{1}{\zeta (2.3)}\frac{1}{{(m+1)^{2.3}}},\hspace{1em}m\in {\mathbb{N}_{0}},\]
where ζ denotes the Riemann zeta function. It should be noted that here Zeta distribution is not defined in the usual way, i.e. with support $m\in \{1,2,\dots \}$ and the corresponding probabilities.
The expectation of Y is 1.74497 and the variance is infinite. Therefore, the correlation between the claims is undefined. As before, we use the Clayton copula with $\theta =\{-0.9;0.01;100\}$ to model the dependence between the marginals.
As can be intuitively expected, the presence of heavy-tailed marginal has a major impact on the values of the ruin probability.
Table 4.
Values of $\psi (u)$ in Example 5.4
u $\theta =-0.9$ $(\Delta <{10^{-6}})$ $\theta =0.01$ $(\Delta <{10^{-6}})$ $\theta =100$ $(\Delta <{10^{-5}})$
0 0.9721 0.9715 0.9690
1 0.9611 0.9620 0.9656
2 0.9570 0.9579 0.9615
3 0.9543 0.9550 0.9584
4 0.9520 0.9527 0.9559
5 0.9500 0.9507 0.9538
6 0.9483 0.9489 0.9520
7 0.9467 0.9473 0.9503
8 0.9453 0.9458 0.9488
9 0.9439 0.9444 0.9474
10 0.9427 0.9432 0.9460
11 0.9416 0.9421 0.9448
12 0.9406 0.9410 0.9437
vmsta-6-1-vmsta118-g004.jpg
Fig. 4.
Values of $\psi (u)$ in Example 5.4

6 Concluding remarks

In this work, the bi-seasonal discrete time risk model with dependent claims is introduced. We present a recursive algorithm for calculating the values of the ruin probability. Theoretical results are illustrated by some numerical examples.
The results obtained in this paper can be extended in the following directions:
  • • Our results can be generalized to the models with more complex structure of the non-homogeneity of claims. For instance, the generating random vectors of the form $({X_{1}},{X_{2}},\dots ,{X_{p}})$ with $p>2$ can be considered for claim sizes. In this case, we get a p-seasonal model.
  • • An algorithm for the calculation of more complex risk measures, such as the Gerber–Shiu expected discounted penalty function [14], can be presented for the bi-seasonal discrete time risk model with dependent claims.
  • • The model and the algorithm considered in the paper can be illustrated with examples based on real insurance data.

Acknowledgement

We are grateful to the referees for their useful comments and suggestions leading to an improvement of the paper.

References

[1] 
Andreoli, A., Ballestra, L.V., Pacelli, G.: Computing survival probabilities based on stochastic differential models. J. Comput. Appl. Math. 277, 127–137 (2015). MR3272170. https://doi.org/10.1016/j.cam.2014.08.030
[2] 
Bao, Z., Liu, Y.: A discrete-time risk model with dependence between interclaim arrivals and claim sizes. Adv. Differ. Equ. 2016, 188 (2016). MR3521141. https://doi.org/10.1186/s13662-016-0893-4
[3] 
Bernackaitė, E., Šiaulys, J.: The finite-time ruin probability for an inhomogeneous renewal risk model. J. Ind. Manag. Optim. 13(1), 207–222 (2017). MR3576051. https://doi.org/10.3934/jimo.2016012
[4] 
Bieliauskienė, E., Šiaulys, J.: Gerber-Shiu function for the discrete inhomogeneous claim case. Int. J. Comput. Math. 89(12), 1617–1630 (2012). MR2949469. https://doi.org/10.1080/00207160.2012.693607
[5] 
Blaževičius, K., Bieliauskienė, E., Šiaulys, J.: Finite-time ruin probability in the inhomogeneous claim case. Lith. Math. J. 50, 260–270 (2010). MR2719562. https://doi.org/10.1007/s10986-010-9084-2
[6] 
Castañer, A., Claramunt, M.M., Gathy, M., Lefèvre, Cl., Mármol, M.: Ruin problems for a discrete time risk model with non-homogeneous conditions. Scand. Actuar. J. 2013(2), 83–102 (2013). MR3041119. https://doi.org/10.1080/03461238.2010.546144
[7] 
Constantinescu, C., Dai, S., Ni, W., Palmowski, Z.: Ruin probabilities with dependence on the numbers of claims within fixed time window. Risks 4, 17 (2016). https://doi.org/10.3390/risks4020017
[8] 
Damarackas, J., Šiaulys, J.: Bi-seasonal discrete time risk model. Appl. Math. Comput. 247, 930–940 (2014). MR3270895. https://doi.org/10.1016/j.amc.2014.09.040
[9] 
De Vylder, F.E., Goovaerts, M.J.: Explicit finite-time and infinite-time ruin probabilities in the continuous case. Insur. Math. Econ. 24, 155–172 (1999). MR1704808. https://doi.org/10.1016/S0167-6687(98)00049-3
[10] 
Dickson, D.C.M.: Some comments on the compound binomial model. ASTIN Bull. 24, 33–45 (1994). https://doi.org/10.2143/AST.24.1.2005079
[11] 
Dickson, D.C.M.: Insurance Risk and Ruin. Cambridge University Press (2005). MR2160707. https://doi.org/10.1017/CBO9780511624155
[12] 
Dickson, D.C.M., Waters, H.R.: Recursive calculation of survival probabilities. ASTIN Bull. 21, 199–221 (1991). https://doi.org/10.2143/AST.21.2.2005364
[13] 
Gerber, H.U.: Mathematical fun with the compound binomial process. ASTIN Bull. 18, 161–168 (1988). https://doi.org/10.2143/AST.18.2.2014949
[14] 
Gerber, H.U., Shiu, E.S.W.: On the time value of ruin. N. Am. Actuar. J. 2, 48–78 (1998). MR1988433. https://doi.org/10.1080/10920277.1998.10595671
[15] 
Grigutis, A., Korvel, A., Šiaulys, J.: Ruin probabilities of a discrete-time multi-risk model. Inf. Technol. Control 44(4), 367–379 (2015). https://doi.org/10.5755/j01.itc.44.4.8635
[16] 
Grigutis, A., Korvel, A., Šiaulys, J.: Ruin probability in the three-seasonal discrete-time risk model. Mod. Stoch. Theor. Appl. 2, 421–441 (2015). MR3456147. https://doi.org/10.15559/15-VMSTA45
[17] 
Huang, X.-F., Zhang, T., Yang, Y., Jiang, T.: Ruin probabilities in a dependent discrete-time risk model with Gamma-like tailed insurance risks. Risks 5, 14 (2017). MR3506338. https://doi.org/10.3390/risks5010014
[18] 
Joe, H.: Dependence Modeling with Copulas. Monographs on Statistics and Applied Probability, vol. 134. Chapman and Hall/CRC Press (2014). MR3328438
[19] 
Li, S., Lu, Y., Garrido, J.: A review of discrete-time risk models. Rev. R. Acad. Cienc. Exactas Fís. Nat., Ser. A Mat. 103, 321–337 (2009). MR2582636. https://doi.org/10.1007/BF03191910
[20] 
Manstavičius, M., Leipus, R.: Bounds for the Clayton copula. Nonlinear Anal. Modell. Control 22, 248–260 (2017). MR3608075. https://doi.org/10.15388/NA.2017.2.7
[21] 
McNeil, A.J., Nešlehová, J.: Multivariate Archimedean copulas, d-monotone functions and ${l_{1}}$-norm symmetric distributions. Ann. Stat. 37, 3059–3097 (2009). MR2541455. https://doi.org/10.1214/07-AOS556
[22] 
Nelsen, R.B.: An Introduction to Copulas, 2nd edn. Springer (2006). MR2197664
[23] 
Răducan, A.M., Vernic, R., Zbăganu, G.: Recursive calculation of ruin probabilities at or before claim instants for non-identically distributed claims. ASTIN Bull. 45, 421–443 (2015). MR3394025. https://doi.org/10.1017/asb.2014.30
[24] 
Răducan, A.M., Vernic, R., Zbăganu, G.: On the ruin probability for nonhomogeneous claims and arbitrary inter-claim revenues. J. Comput. Appl. Math. 290, 319–333 (2015). MR3370412. https://doi.org/10.1016/j.cam.2015.05.021
[25] 
Răducan, A.M., Vernic, R., Zbăganu, G.: On a conjecture related to the ruin probability for nonhomogeneous exponentially distributed claims. Scand. Actuar. J. 2017(5), 441–451 (2017). MR3645736. https://doi.org/10.1080/03461238.2016.1174731
[26] 
Shiu, E.S.W.: The probability of eventual ruin in the compound binomial model. ASTIN Bull. 19, 179–190 (1989). https://doi.org/10.2143/AST.19.2.2014907
[27] 
Willmot, G.E.: Ruin probabilities in the compound binomial model. Insur. Math. Econ. 12, 133–142 (1993). MR1229212. https://doi.org/10.1016/0167-6687(93)90823-8
[28] 
Zhang, T., Fang, X.-N., Liu, J., Yang, Y.: Asymptotics for the partial sums and its maximum of dependent random variables. Lithuanian Mathematical Journal 57, 142–153 (2017). MR3621877. https://doi.org/10.1007/s10986-017-9348-1
Reading mode PDF XML

Table of contents
  • 1 Introduction
  • 2 Main results
  • 3 Proof of Theorem 2.1
  • 4 Proof of Theorem 2.2
  • 5 Numerical examples
  • 6 Concluding remarks
  • Acknowledgement
  • References

Copyright
© 2019 The Author(s). Published by VTeX
by logo by logo
Open access article under the CC BY license.

Keywords
Bi-seasonal model discrete time risk model ruin probability recursive formula dependent claims

MSC2010
91B30 91B70

Funding
The second and the third authors were supported by grant No S-MIP-17-72 from the Research Council of Lithuania.

Metrics
since February 2017
0

Article info
views

0

Full article
views

5

PDF
downloads

8

XML
downloads

Export citation

Copy and paste formatted citation
Placeholder

Download citation in file


Share


RSS

  • Figures
    4
  • Tables
    4
  • Theorems
    2
vmsta-6-1-vmsta118-g001.jpg
Fig. 1.
Values of $\psi (u)$ in Example 5.1
vmsta-6-1-vmsta118-g002.jpg
Fig. 2.
Values of $\psi (u)$ in Example 5.2
vmsta-6-1-vmsta118-g003.jpg
Fig. 3.
Values of $\psi (u)$ in Example 5.3
vmsta-6-1-vmsta118-g004.jpg
Fig. 4.
Values of $\psi (u)$ in Example 5.4
Table 1.
Values of $\psi (u)$ in Example 5.1
Table 2.
Values of $\psi (u)$ in Example 5.2
Table 3.
Values of $\psi (u)$ in Example 5.3
Table 4.
Values of $\psi (u)$ in Example 5.4
Theorem 2.1.
Theorem 2.2.
vmsta-6-1-vmsta118-g001.jpg
Fig. 1.
Values of $\psi (u)$ in Example 5.1
vmsta-6-1-vmsta118-g002.jpg
Fig. 2.
Values of $\psi (u)$ in Example 5.2
vmsta-6-1-vmsta118-g003.jpg
Fig. 3.
Values of $\psi (u)$ in Example 5.3
vmsta-6-1-vmsta118-g004.jpg
Fig. 4.
Values of $\psi (u)$ in Example 5.4
Table 1.
Values of $\psi (u)$ in Example 5.1
u $\mathrm{cor}=0$ $(\Delta <{10^{-11}})$ $\mathrm{cor}=0.23$ $(\Delta <{10^{-10}})$ $\mathrm{cor}=0.46$ $(\Delta <{10^{-9}})$
0 0.7977 0.7921 0.7868
1 0.6040 0.6264 0.6480
2 0.4469 0.4875 0.5222
3 0.3269 0.3754 0.4165
4 0.2383 0.2880 0.3310
5 0.1736 0.2208 0.2628
6 0.1265 0.1692 0.2085
7 0.0921 0.1297 0.1655
8 0.0671 0.0994 0.1313
9 0.0489 0.0762 0.1042
10 0.0356 0.0584 0.0827
11 0.0260 0.0447 0.0657
12 0.0189 0.0343 0.0521
Table 2.
Values of $\psi (u)$ in Example 5.2
u $\mathrm{cor}=-0.53$ $(\Delta <{10^{-20}})$ $\mathrm{cor}=0$ $(\Delta <{10^{-11}})$ $\mathrm{cor}=0.8$ $(\Delta <{10^{-10}})$
0 0.8217 0.7977 0.7810
1 0.5064 0.6040 0.6717
2 0.3165 0.4469 0.5715
3 0.1977 0.3269 0.4669
4 0.1231 0.2383 0.3909
5 0.0766 0.1736 0.3221
6 0.0476 0.1265 0.2661
7 0.0296 0.0921 0.2195
8 0.0184 0.0671 0.1812
9 0.0115 0.0489 0.1496
10 0.0071 0.0356 0.1235
11 0.0044 0.0260 0.1019
12 0.0028 0.0189 0.0841
Table 3.
Values of $\psi (u)$ in Example 5.3
u $\mathrm{cor}=-0.53$ $(\Delta <{10^{-20}})$ $\mathrm{cor}=0$ $(\Delta <{10^{-11}})$ $\mathrm{cor}=0.8$ $(\Delta <{10^{-9}})$
0 0.9267 0.9023 0.8988
1 0.6940 0.7269 0.7316
2 0.4653 0.5473 0.5897
3 0.2961 0.4014 0.4859
4 0.1850 0.2926 0.4048
5 0.1151 0.2131 0.3347
6 0.0716 0.1552 0.2763
7 0.0445 0.1131 0.2280
8 0.0277 0.0824 0.1882
9 0.0172 0.0600 0.1553
10 0.0107 0.0437 0.1282
11 0.0067 0.0319 0.1059
12 0.0042 0.0232 0.0874
Table 4.
Values of $\psi (u)$ in Example 5.4
u $\theta =-0.9$ $(\Delta <{10^{-6}})$ $\theta =0.01$ $(\Delta <{10^{-6}})$ $\theta =100$ $(\Delta <{10^{-5}})$
0 0.9721 0.9715 0.9690
1 0.9611 0.9620 0.9656
2 0.9570 0.9579 0.9615
3 0.9543 0.9550 0.9584
4 0.9520 0.9527 0.9559
5 0.9500 0.9507 0.9538
6 0.9483 0.9489 0.9520
7 0.9467 0.9473 0.9503
8 0.9453 0.9458 0.9488
9 0.9439 0.9444 0.9474
10 0.9427 0.9432 0.9460
11 0.9416 0.9421 0.9448
12 0.9406 0.9410 0.9437
Theorem 2.1.
Let the bi-seasonal discrete time risk model be generated by the random vector $(X,Y)$, where X and Y are nonnegative and integer-valued random variables such that $\mathbb{E}X+\mathbb{E}Y<2$. In this case
(1)
\[ \underset{u\to \infty }{\lim }\varphi (u)=1.\]
  • • If ${s_{0}}={h_{0,0}}>0$, then
    (2)
    \[ \varphi (0)=(2-\mathbb{E}S)\underset{n\to \infty }{\lim }\hspace{2.5pt}\frac{{b_{n+1}}-{b_{n}}}{{a_{n}}-{a_{n+1}}},\]
    (3)
    \[ \varphi (u)={a_{u}}\varphi (0)+{b_{u}}(2-\mathbb{E}S),\hspace{1em}u\in \mathbb{N},\]
    where ${a_{n}}$ and ${b_{n}}$ are two sequences of real numbers defined recursively by the equalities:
    \[\begin{aligned}{}& {a_{1}}=-\frac{1}{{y_{0}}},\hspace{2em}{a_{n}}=\frac{1}{{s_{0}}}\Bigg({a_{n-2}}-{\sum \limits_{i=1}^{n-1}}{s_{i}}{a_{n-i}}+{a_{1}}{h_{n-1,0}}\Bigg),\hspace{1em}n\in \{2,3,\dots \};\\ {} & {b_{1}}=\frac{1}{{y_{0}}},\hspace{2em}{b_{n}}=\frac{1}{{s_{0}}}\Bigg({b_{n-2}}-{\sum \limits_{i=1}^{n-1}}{s_{i}}{b_{n-i}}+{b_{1}}{h_{n-1,0}}\Bigg),\hspace{1em}n\in \{2,3,\dots \}.\end{aligned}\]
  • • If ${s_{0}}=0$ with ${x_{0}}\ne 0$ and ${y_{0}}=0$, then
    \[\begin{array}{r@{\hskip10.0pt}c@{\hskip10.0pt}l}& & \displaystyle \varphi (0)=2-\mathbb{E}S,\\ {} & & \displaystyle \varphi (u)=\frac{1}{{s_{1}}}\Bigg(\varphi (u-1)-{\sum \limits_{k=2}^{u}}{s_{k}}\varphi (u-k+1)\Bigg),\hspace{1em}u\in \mathbb{N}.\end{array}\]
  • • If ${s_{0}}=0$ with ${x_{0}}=0$ and ${y_{0}}\ne 0$, then
    \[\begin{aligned}{}& \varphi (0)=0,\\ {} & \varphi (1)=\frac{1}{{y_{0}}}(2-\mathbb{E}S),\\ {} & \varphi (u)=\frac{1}{{s_{1}}}\Bigg(\varphi (u-1)-{\sum \limits_{k=2}^{u}}{s_{k}}\varphi (u-k+1)+{h_{u,0}}\hspace{0.1667em}\varphi (1)\Bigg),\hspace{1em}u\in \{2,3,\dots \}.\end{aligned}\]
Theorem 2.2.
Let the bi-seasonal discrete time risk model be generated by the random vector $(X,Y)$, where X and Y are nonnegative and integer-valued random variables such that the net profit condition is not satisfied, i.e. $\mathbb{E}X+\mathbb{E}Y\geqslant 2$.
If $\mathbb{E}X+\mathbb{E}Y>2$, then $\varphi (u)=0$ for all $u\in {\mathbb{N}_{0}}$.
If $\mathbb{E}X+\mathbb{E}Y=2$, then we have the following possible subcases:
  • • $\varphi (u)=0$, $u\in {\mathbb{N}_{0}}$, if ${s_{2}}={h_{0,2}}+{h_{1,1}}+{h_{2,0}}<1$;
  • • $\varphi (0)=0$, $\varphi (u)=1$, $u\in \mathbb{N}$, if ${s_{2}}=1$ and ${h_{2,0}}=0$;
  • • $\varphi (0)=\varphi (1)=0$, $\varphi (u)=1$, $u\in \{2,3,\dots \}$, if ${s_{2}}=1$ and ${h_{2,0}}>0$.
  • About Publisher
Powered by PubliMill  •  Privacy policy